TMCH(3M) |
|
![]() |
|
Item : 6731-36-8 |
|
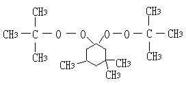
Details :TMCH(3M)
Chemical name: 1,1-Bis(t-butyl peroxy)-3,3,5-Tri Methyl Cyclo Hexane TMCH-90 is a low volatility, yellowish liquid, peroxyketals initiator, effective for the polymerization of styrene and cross linking of elastomers, and used as heat curing agent of unsaturated polyester. Safety Data Flash point………………………………46℃
SADT ……………60℃
Tem………………………55℃
UN-No(90%)……………3101
CN-No ………52011
Properties State…………………………………Liquid
Density(
Melting point………………………………-40℃
Theoretical Active Oxygen………………10.58%
Specification Appearance…………colorless to slightly yellow Liquid.
Assay………………………………Min.90%
Colour…………………………………Max.60Hazen
Fe………………………………Max.0.0003%
Diluents………………………iso dodecane/mineral oil/ethyl benzene
|
|
| [Next1068-27-5] [Previous3006-86-8] | |

